发布时间:2023-09-19 浏览量: 作者:张越男 来源: 海洋与环境学院
近日,天津精东影业海洋与环境学院环境功能材料团队利用液相合成与过量浸渍法将CeO2反相负载于Cu2O六面体(1 0 0)、八面体(1 1 1)与十二面体(1 1 0)上,研究了该催化剂在CO自持催化燃烧反应中的协同效应和反应机理。相关论文以题为“CO self-sustained catalytic combustion over morphological inverse model CeO2/Cu2O catalysts exposing (100), (111) and (110) plane.”发表在环境领域知名期刊《Applied Catalysis B: Environmental》。该论文第一作者为我校研究生滕子豪,通讯作者为我校海洋与环境学院副教授豆宝娟,天津精东影业为第一作者和通讯作者单位。
自持催化燃烧是实现高浓度CO(如转炉炼钢放散煤气)有效转化的潜在手段。建立模型催化剂对反应过程进行理论研究对催化剂的优化设计至关重要,反相负载催化剂是一种探索表面相互作用和反应机理的可行方法。本文基于不同形貌的反相CeO2/Cu2O模型催化剂揭示了铜-铈协同效应和CO自持催化燃烧反应机理。




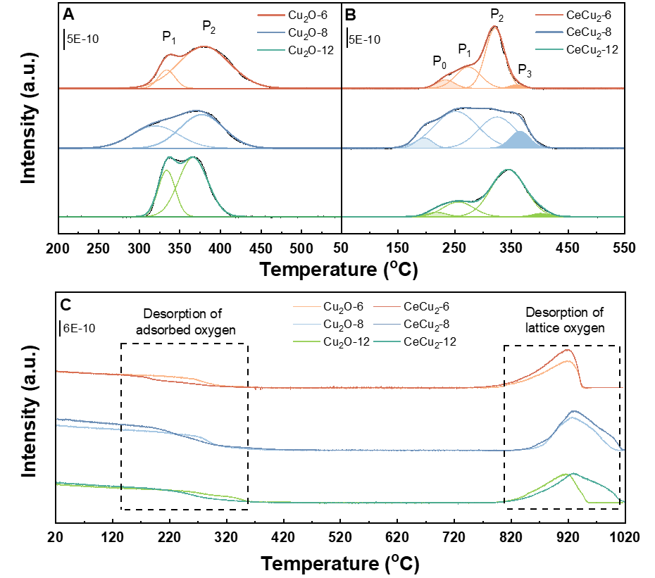
图1.XRD:(A)CeCu2催化(B)(1 1 1)峰的比较。SEM:(A1)Cu2O-6、(A2)CeCu2-6、(B1)Cu2O-8、(B2)CeCu2-8、(C1)Cu2O-12和(C2)CeCu2-12EDS:(D1)CeCu2-6、(D2)CeCu2-8和(D3)CeCu2-12 XPS:(A)Cu 2p,(C)O 1s,(D)Ce 3d和Cu-LMM(B)的AES光谱 H2-TPR:(A)纯Cu2O和(B)反CeCu2。(C)催化剂的O2-TPD曲线。
XRD图表明催化剂呈现典型Cu2O结构,并且负载后的反相催化剂与负载前的纯氧化亚铜相比,衍射峰强度降低并向左偏移。SEM图像证明制得的催化剂分别为暴露6个(100)晶面的六面体、8个(111)晶面的八面体与12个(110)晶面的菱形十二面体。由XPS的图像可得体系中同时存在Cu+与Cu2+,Ce3+与Ce4+的氧化还原对,Cu、Ce达成了高低价态之间的电子转移平衡。三种不同化学状态的氧——晶格氧、化学吸附氧与羟基氧共存且体系中不含Cu0。利用H2-TPR与O2-TPD则可以说明三种催化剂的氧化还原能力以及O2吸附能力遵循八面体>十二面体>六面体的顺序,且反相催化剂的能力强于纯氧化亚铜。




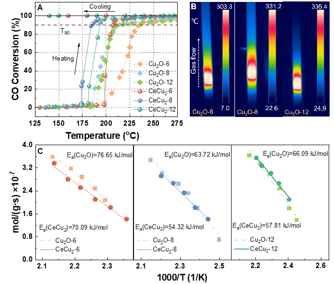
图2:动力学实验:反CeCu2-8催化剂的拟合动力学线;(A)催化活性(B)温度分布(C)活化能;
原子分布:(A)Cu2O-6、(B)Cu2O-8和(C)Cu2O-12。蓝色、红色和橙色球分别代表O、配位饱和Cu和配位不饱和Cu
动力学实验表明反应遵循Mars-van Krevelen机理。并且在经过反相负载后,催化剂活性得到显著提升,表面活化能降低,遵循八面体>十二面体>六面体的规律。从六面体(100),八面体(111)与十二面体(110)的晶面结构图可见(100)最外层为氧原子,铜原子在次外层,这种结构不利于铜与铈的接触,削弱了协同效应;(110)最外层有铜原子,可与铈直接接触产生协同效应;虽然(111)上铜原子在次外层,但开放的表面允许铜原子与铈原子的接触,同时(111)晶面独有的更高活性的配位不饱和的Cu+促进了协同效应。原位红外实验结果说明三种催化剂上都出现Cu+-羰基、气相CO、气相CO2的吸收峰。原位红外结果与动力学实验一致,表明反应遵循M-K机理。

图3:CO在反催化剂上的自持催化燃烧反应。红色、蓝色、黑色和紫色球分别代表Cu、O、C和Ce。
图3描述了CeO2/Cu2O催化剂上的CO自持催化燃烧反应的M-K机理。铜-铈协同效应可在催化剂表面产生大量氧空位。氧空位吸附并活化O2形成具有活性的晶格氧。CO吸附到Cu+上形成Cu+-CO中间产物,与相邻氧空位上的一个晶格氧反应,产生CO2并脱附。之后再次吸附的CO与剩下一个晶格氧反应生成CO2并脱附,氧空位再次产生,形成循环。
全文链接:
http://doi.org/10.1016/j.apcatb.2023.123119
编辑:田珺